技术信息
不论你正面临何种技术问题,在哪种设备上,轮胎或者轮辋,答案一定在技术手册中。卷帙浩繁,答案难觅。现在你可以使用特瑞堡的电子工具解决他们,帮你轻松搞定,在菜单中选择对应的工具,赶快体验吧。
产品资料及技术手册

产品手册
浏览及下载所有特瑞堡农业和林业轮胎产品资料,深入了解我们的轮胎产品和完整车轮解决方案。
技术手册
用于查找有关特瑞堡产品系列的所有技术信息以及有关怎样合理使用轮胎的有用建议。

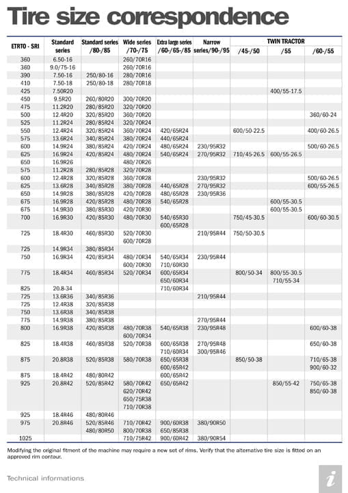
轮辋
并装系统
应用建议
Twin Forestry 林业轮胎
了解并探索我们全新一代林业轮胎 Twin Forestry系列产品,坚韧的胎体结构将提供不间断的作业能力和全地形的强劲牵引。

胎压技术表
林业轮胎使用胎压、装配和操作规范
林业轮胎胎压技术表
林业轮胎推荐胎压技术表

技术视频
联系我们
想与我们联系?您可以随时与我们取得联系,我们将在收到您的信息后及时与您接洽。













